Numerical Simulation of Steel Concrete Composite Floor System

Numerical Simulation of Steel Concrete Composite Floor System

My Responsibility

This paper explores the ultimate strength of the composite floor system of structural steel concrete. ABAQUS, used to research non-linear competencies and ultimate load-carrying capability of such floor systems, developed the Finite Element Model (FEM) in 3-D. A comparison of computed values with experimental results has validated the proposed finite element model. The measured and experimental findings show a good match with an average variation of 10%. In parametric study effects of different sizes of shear studs on the ultimate strength of the floor system have been explored on full size specimens. Results show that an increase in height of the shear stud with the same diameter increases the ultimate strength of the floor system. An Increase in the diameter of the shear stud also increases the ultimate capacity of the floor system.
Random Image 1
Random Image 1
Random Image 1

ABSTRACT

The use of composite materials in construction applications has progressed significantly
over the last few decades. Steel concrete composite systems are becoming very common as
they combine to build structures that are stiffer, lighter, and less costly. This paper explores
the ultimate strength of the composite floor system of structural steel concrete. ABAQUS,
used to research non-linear competencies and ultimate load-carrying capability of such
floor systems, developed the Finite Element Model (FEM) in 3-D. Eighteen numerical
models were developed to simulate the behavior with published literature using Finite
Element model. The concrete damaged plasticity model and elastic-perfectly plastic model
have been used to simulate the concrete and material nonlinearities were included in the FE
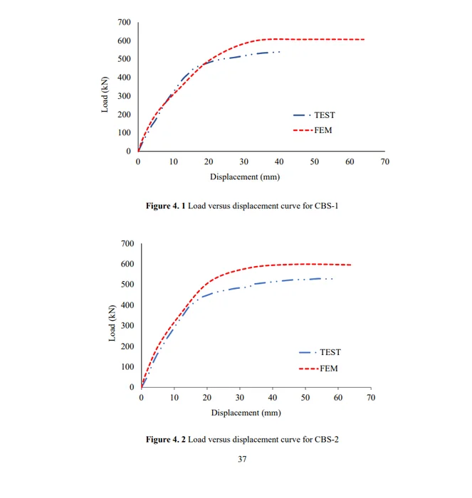
model. A comparison of computed values with experimental results has validated the
proposed finite element model. The measured and experimental findings show a good
match with an average variation of 7.125% for ultimate capacity. The experimental results
can be estimated with a high degree of accuracy using the FE model. An extensive
parametric study has also been carried out. In previous studies the main focus was on the
types and effect of different parameters of shear connector on composite structure but in
this study individual parameter of shear connector has been explored. In this parametric
study effects of different sizes of shear studs have been explored on full size beam
specimen. Results show that an increase in height of the shear stud with the same diameter
increases the ultimate capacity of the floor system. Ultimate capacity of the floor system
increases 2.68 % for 20 mm increase of height on an average for a fixed diameter shear
stud. Ultimate capacity of the floor system increases 1.96 % for 3 mm increase of diameter
on an average for a fixed height of shear stud.
Random Image 1
Random Image 1
Random Image 1

Video Gallery

Image Gallery